• Предмет: Математика
  • Автор: maksimorlov3
  • Вопрос задан 7 лет назад

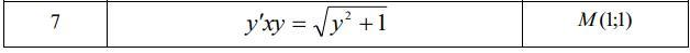
Дано дифференциальное уравнение 1-го порядка и точка М.
Определить тип дифференциального уравнения. Найти общее решение
дифференциального уравнения, уравнение интегральной кривой, проходящей
через точку М и уравнения еще 4-х интегральных кривых. Построить все эти
кривые в системе координат.
Пытаюсь решить это уже 4 дня. Внятного объяснения не могу найти. Получил 5 разных ответов
1 - корень из 2
2 - минус корень из 2
3- e в степени корень из 2
4 - 1/(e в степени корень из 2)
5 - модуль( корень из 2)

Приложения:

Ответы

Ответ дал: NeZeRAvix
0

\displaystyle \sf y'xy=\sqrt{y^2+1}

Это уравнение с разделяющимися переменными.

\displaystyle \sf \frac{dy}{dx}xy=\sqrt{y^2+1} \\  \frac{y}{\sqrt{y^2+1}}dy=\frac{1}{x}dx

Интегрируем уравнение. Для обеих частей уравнения считаем интегралы:

\displaystyle \sf \int\limits {\frac{y}{\sqrt{y^2+1}}} \, dy= \frac{1}{2}\int\limits {\frac{2y}{\sqrt{y^2+1}}} \, dy=\frac{1}{2}\int\limits {\frac{1}{\sqrt{y^2+1}}} \, d(y^2)=\frac{1}{2}\cdot2\sqrt{y^2+1}+C=\\=\sqrt{y^2+1}+C \\ \\ \int\limits {\frac{1}{x}} \, dx =ln|x|+C

Получим общее решение:

\displaystyle \sf \sqrt{y^2+1}=ln|x|+C_1

y(x) можно выразить явно:

\sf \displaystyle y=\pm\sqrt{ln^2|x|+2C_1ln|x|+C_1^2-1}

Теперь найдем интегральную кривую, проходящую через точку M(1,1):

\displaystyle \sf \sqrt{1^2+1}=ln|1|+C_1 \\ C_1=\sqrt{2}

тогда

\sf \displaystyle \sqrt{y^2+1}=ln|x|+\sqrt{2}

- искомая интегральная кривая.

Другие интегральные кривые можно получать путем подстановки фиксированных значений вместо C₁. Примеры и их графики смотреть на картинке.

Приложения:
Вас заинтересует