• Предмет: Математика
  • Автор: likagelmanova
  • Вопрос задан 7 лет назад

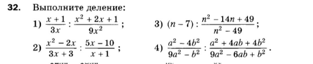
Помогите решить.Даю 10 баллов

Приложения:

Ответы

Ответ дал: tinfortvm
1

надеюсь поймёшь в конце ещё не дорешено

Приложения:

likagelmanova: плохо видно и непонятно из-за этого
tinfortvm: быстро написал времени нет
likagelmanova: понятно, спасибо.но можете перефоткать?
likagelmanova: а в конце...можете дорешить пожалуйста..
likagelmanova: осталось просто только 4 номер доделать и всё..
likagelmanova: и я тебе спасибо в аккаунте сделаю..
likagelmanova: уже не надо!!!
Вас заинтересует