• Предмет: Алгебра
  • Автор: Аноним
  • Вопрос задан 7 лет назад

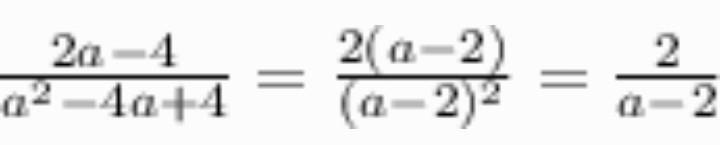
Сократите дробь


2а-4/
а²-4a+4​

Ответы

Ответ дал: Аноним
1

Ответ:

┊ответ на фото.

Объяснение:

꒰ удачи, юный друг.) ꒱ ♡

Приложения:

Аноним: Такемичи Ханагаки лучший!!
Аноним: хах,согласен
Аноним: можно лучший ответ?|^
Аноним: да конечно!!
Аноним: спасибо большое)
Аноним: можно с тобой познакомиться? хрххкпзхр
Аноним: конечно
Аноним: можешь кинуть телегу?
Аноним: прости,но я удалили её(
Аноним: через что можешь общатся?
Ответ дал: Amigo3
0

Ответ: 2/(а-2), см фото.

Объяснение:

Приложения:
Вас заинтересует