• Предмет: Математика
  • Автор: Mekhdiew
  • Вопрос задан 7 лет назад

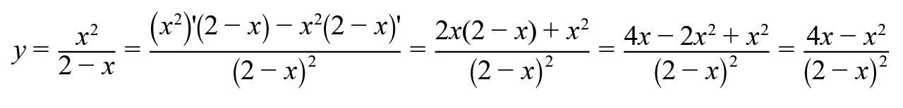
Найдите произодную
y= x^2/(2-x)

Ответы

Ответ дал: palilov243659
1

Ответ:

Пошаговое объяснение:

//////////

Приложения:
Вас заинтересует