• Предмет: Алгебра
  • Автор: shukurovashahnoza24
  • Вопрос задан 7 лет назад

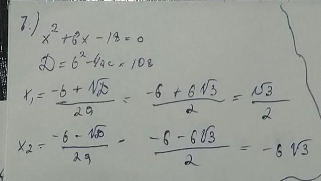
1) х²+6х-18=0
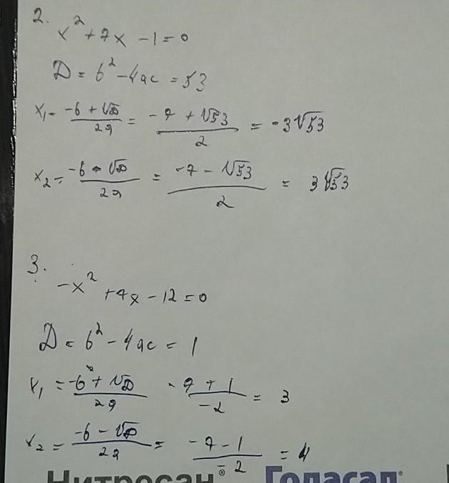
2) х²+7х-1=0
3) -х²+7х-12=0
4) -х²+8х+8=0

Ответы

Ответ дал: EdwardJones
1

Объяснение:

.........................

Приложения:

EdwardJones: Вроде бы так...
Вас заинтересует