Ответы
Ответ дал:
0
Ответ:
отвечу на 7
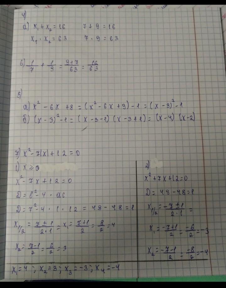
7) x²-7|x|+12=0
|x|=y
y²-7y+12=0
по т.Виета
y1+y2=7
y1×y2=12
y1=3
y2=4
|x|=3 |x|=4
x=±3 x=±4
Ответ : -4;-3;3;4
Ответ дал:
0
Объяснение:
сорри,я не смогла решить 6 задачу.
Приложения:


elzanizamutdinova06:
а почему задания не похожи?
Вас заинтересует
2 года назад
2 года назад
8 лет назад
9 лет назад
9 лет назад