• Предмет: Алгебра
  • Автор: casplok
  • Вопрос задан 7 лет назад

Помогите кто знает, не очень умею решать подобное, ибо не селен в этом предмете

Приложения:

Ответы

Ответ дал: lelihova
1

Объяснение:

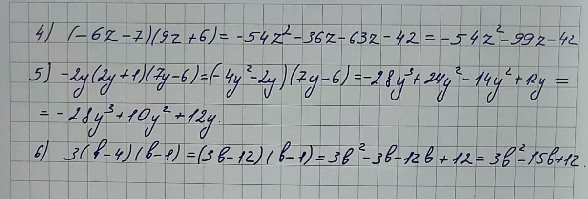
роскрывать скобки умножая поочередно каждый член первого многочлена на каждый член второго многочлена.

Приложения:
Вас заинтересует