• Предмет: Математика
  • Автор: tyretaeva228
  • Вопрос задан 7 лет назад

пожалуйста помогите срочно. только плиз по действиям​

Приложения:

Ответы

Ответ дал: gfghg32
0

Ответ:

1\frac{7}{9}

Пошаговое объяснение:

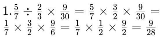
1)\frac{5}{7} : \frac{2}{3} = \frac{5}{7} * \frac{3}{2} = \frac{10}{21}

2)\frac{10}{21}  * \frac{9}{30} = \frac{9}{63} = \frac{1}{7}

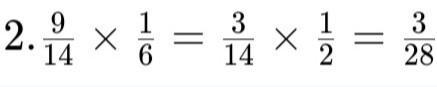
3)\frac{9}{14} * \frac{1}{6} = \frac{9}{84} = \frac{3}{28}

4)\frac{1}{7} : \frac{3}{28} = \frac{1}{7} * \frac{28}{3} = \frac{4}{3}

5)\frac{4}{3} * 1\frac{1}{3} = \frac{16}{9} =1\frac{7}{9}

Ответ дал: arsenchik45
0

Правильный ответ только 4!!!

Приложения:
Вас заинтересует