• Предмет: Физика
  • Автор: Milkaaaa
  • Вопрос задан 11 лет назад

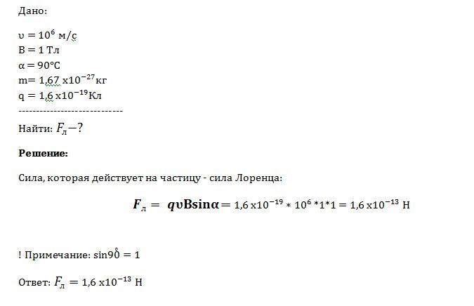
Протон движется со скоростью 10 в 6 степени м/с перпендикулярно однородному магнитному полю с индукцией 1 Тл. Определите силу,действующую на протон масса протона 1.67*10в -27 степени кг. заряд протона +1.6*10в -19 Кл.

Ответы

Ответ дал: livres
0
Решение во вложении:
Приложения:
Вас заинтересует