• Предмет: Алгебра
  • Автор: nikafon07
  • Вопрос задан 7 лет назад

Срочно! Помогите пожалуйста! Мне очень нужно!

Приложения:

Ответы

Ответ дал: bel72777
0

Ответ:

Объяснение:

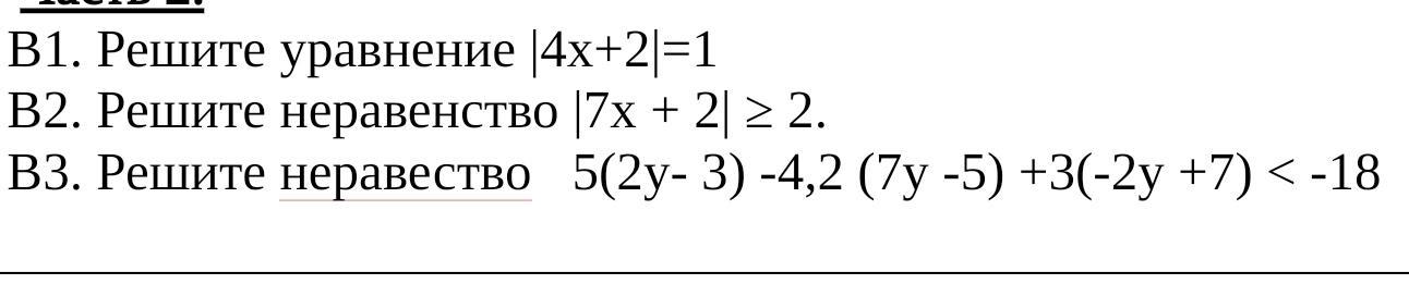
1. |4x+2|=1

1) 4x+2=1; 4x=1-2; x₁=-1/4; x₁=-0,25

2) 4x+2=-1; 4x=-1-2; x₂=-3/4; x₂=-0,75

Ответ: -0,75; -0,25.

2. |7x+2|≥2

Допустим |7x+2|=2

1) 7x+2=2; 7x=2-2; x₁=0

2) 7x+2=-2; 7x=-2-2; x₂=-4/7

Для определения знака возьмём пробную точку на промежутке [0; +∞), например, 1:

|7·1+2|=9; 9>2

Неравенство выполняется, значит, на данном интервале будет знак плюс:

          +                          -                         +

--------------------.--------------------------.-------------------->x

                   -4/7                           0

x∈(-∞; -4/7]∪[0; +∞).

3. 5(2y-3)-4,2(7y-5)+3(-2y+7)<-18

10y-15-29,4y+21-6y+21<-18

-25,4y+27<-18

25,4y>27+18

y>45÷25,4; y>225/127; y>1 98/127

y∈(1 98/127; +∞).


SkeIet: здравствуйте
Вас заинтересует