Ответы
Ответ дал:
0
Объяснение:
все описано в картинке.
Приложения:

Ответ дал:
0
Ответ:
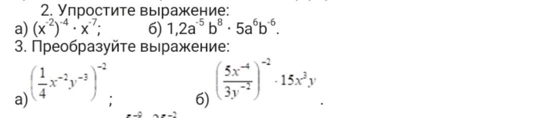
2. а) х;. б)6ab^2
3. a)16x^2y^7;. б) (27х^11)/(5у^3)
Вас заинтересует
2 года назад
2 года назад
2 года назад
2 года назад
8 лет назад
8 лет назад
9 лет назад
9 лет назад