• Предмет: Алгебра
  • Автор: ariell3996
  • Вопрос задан 7 лет назад

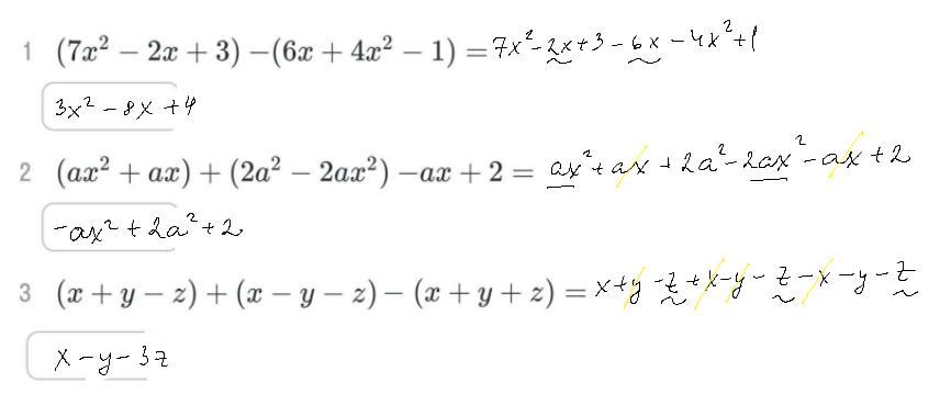
помогите срочно пж пд..​

Приложения:

Ответы

Ответ дал: dashulka22222
0

Ответ:

Объяснение:

pltcm

Приложения:
Вас заинтересует