• Предмет: Математика
  • Автор: aas15781
  • Вопрос задан 7 лет назад

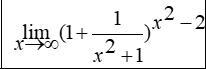
Вычислить второй замечательный предел не используя правило Лопиталя

Приложения:

Ответы

Ответ дал: dashulka22222
0

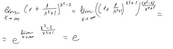
Ответ:

Пошаговое объяснение:

Приложения:
Вас заинтересует