• Предмет: Математика
  • Автор: DENNTO
  • Вопрос задан 7 лет назад

Нужен срочно ответ (только ответ)

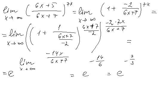
Приложения:

Ответы

Ответ дал: dashulka22222
1

Ответ:

m=-7, n=3

Пошаговое объяснение:

Приложения:
Вас заинтересует