• Предмет: Математика
  • Автор: ekaterinacabanuk16
  • Вопрос задан 7 лет назад


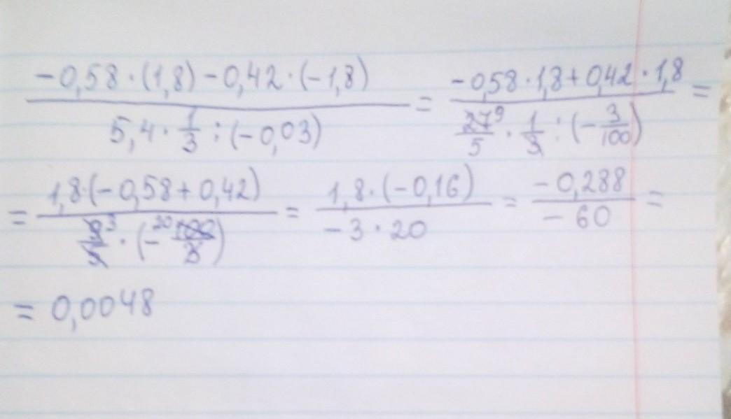
 \frac{ - 0.58 \times (1.8) - 0.42 \times ( - 1.8)}{5.4 \times  \frac{1}{3} \div ( - 0.03) }
Помогите пожалуйста ​


Elena3982: Почему 1,8 в душках? Там же нет минуса.

Ответы

Ответ дал: Elena3982
1

Пошаговое объяснение:

Вот тебе ответ...........

Приложения:

ekaterinacabanuk16: спасибо большое
Elena3982: Пожалуйста.
Elena3982: Посмотри внимательно там где -0,58•(-1,8) есть минус.А то у тебя не стоит.Если есть,то ответ будет другой.
Elena3982: Ой -0,58•(1,8)?
Вас заинтересует