• Предмет: Алгебра
  • Автор: stankevich64
  • Вопрос задан 10 лет назад

Решите пожалуйста уравнение.
Срочно надо.

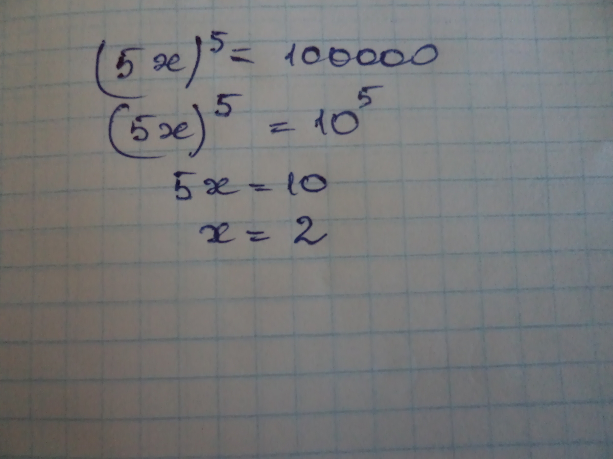
(5x)^5=100000

Ответы

Ответ дал: Mydrый
0
решениееееееееееееееееееее
Приложения:
Ответ дал: stankevich64
0
как мы из 100000 получили 10 в пятой степени
Ответ дал: Mydrый
0
10^5=10*10*10*10*10=100000
Ответ дал: stankevich64
0
спасибо
Вас заинтересует