• Предмет: Алгебра
  • Автор: aruzhanazamatkizi01
  • Вопрос задан 7 лет назад

помогите пожалуйста с алгеброй ​

Приложения:

Ответы

Ответ дал: xurshedxon23
1

Ответ:

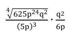
 \frac{ \sqrt[4]{625 {p}^{24} {q}^{2}  } }{(5p {)}^{3} }  \times  \frac{ {q}^{2} }{6p}  =  \frac{5 {p}^{6}  \sqrt{q} }{125 {p}^{3} }  \times  \frac{ {q}^{2} }{6p}  =  \frac{5 {p}^{6} {q}^{2}   \sqrt{q} }{75 0 {p}^{4} }  =  \frac{ {p}^{2} {q}^{2} \sqrt{q}   }{150}

Вас заинтересует