• Предмет: Математика
  • Автор: bebradashakoreyka
  • Вопрос задан 7 лет назад

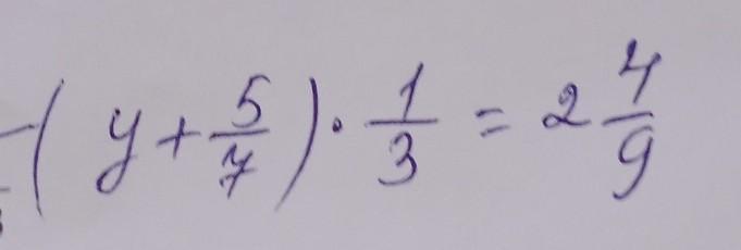
Решите уравнение:
(y+5/7)×1/3=²4/9
Решите на листке, иначе не понятно!​

Приложения:

Ответы

Ответ дал: larisaserova53
0

Ответ:

Смотри решение на фото..

Приложения:

larisaserova53: Если что-то непонятно, спрашивайте -отвечу
larisaserova53: предложение общий знаменатель не пиши и стрелочки не ставь, это я сделала для тебя, чтобы было понятно откуда что взялось
bebradashakoreyka: 5 класс, способ 5 класса нужен.
larisaserova53: Так?
bebradashakoreyka: ...
bebradashakoreyka: Вы где?
larisaserova53: так решали в классе?
Вас заинтересует