• Предмет: Физика
  • Автор: boksibrawl123
  • Вопрос задан 7 лет назад

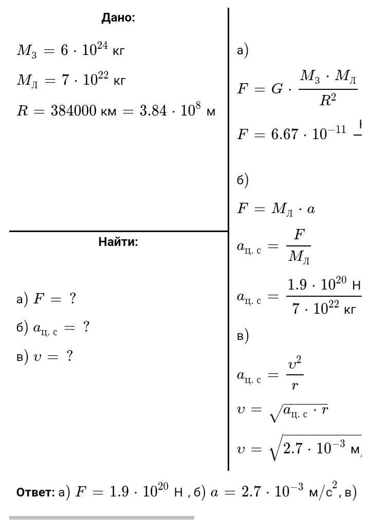
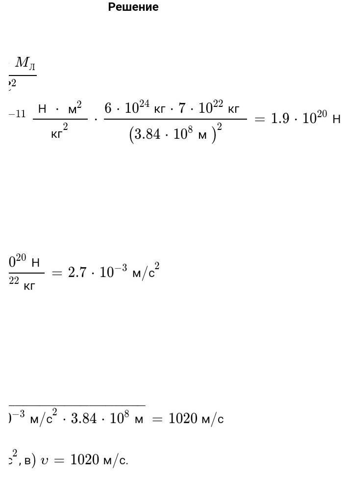
Рассчитайте гравитационную силу Луны. Масса земли 6-10 24 кг, от земли Расстояние до Луны - 384 000 км.​


Аноним: Ищу друга

Ответы

Ответ дал: fusty44
0

а) F=1,9×10^20H

б) a=2,7×10^-3 м/с^2

в) u=1020 м/с

Приложения:
Вас заинтересует