• Предмет: Математика
  • Автор: kurmambaevasay
  • Вопрос задан 7 лет назад

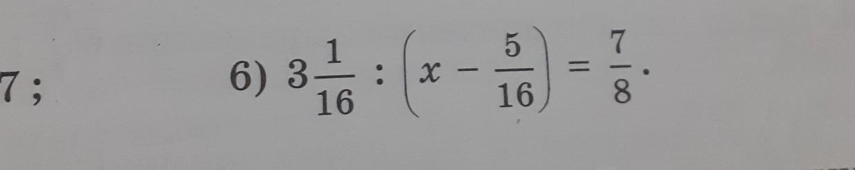
46. Решите уравнения: 1 5 (у) у + — - ) 2) 3 12 16 4 을 3. 3) 1 4) 25 5 у + 25 15 25 3 3 5 5) 8 gira у ) : = 17: 6) 31 хіо (- - jo 16 8​

Приложения:

Ответы

Ответ дал: suricviktor
1

Ответ:

Уравнение 46 ответ

Вас заинтересует