• Предмет: Математика
  • Автор: harafgt
  • Вопрос задан 7 лет назад

Помогите пж!!! Решить систему уравнения!!!

Приложения:

Ответы

Ответ дал: lilyatomach
1

Ответ:

( 1; 3).

Пошаговое объяснение:

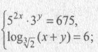
\left \{\begin{array}{l}5^{2x}\cdot 3^{y}   = 675, \\ \log {_{\sqrt[3]{2}}(x+y) =6; \end{array} \right.\Leftrightarrow \left \{\begin{array}{l}5^{2x}\cdot 3^{y}   = 675, \\ \log {_{2^{\frac{1}{3} } }(x+y) =6; \end{array} \right.\Leftrightarrow \left \{\begin{array}{l}5^{2x}\cdot 3^{y}   = 675, \\ 3\cdot\log {_2}(x+y) =6; \end{array} \right.\Leftrightarrow

\Leftrightarrow \left \{\begin{array}{l}5^{2x}\cdot 3^{y}   = 675, \\ \log {_2}(x+y) =2; \end{array} \right.\Leftrightarrow\Leftrightarrow \left \{\begin{array}{l}5^{2x}\cdot 3^{y}   = 675, \\ x+y =4; \end{array} \right.\Leftrightarrow\left \{\begin{array}{l}5^{2x}\cdot 3^{4-x}   = 675, \\ y =4-x; \end{array} \right.

Решим первое уравнение системы

5^{2x}\cdot 3^{4-x}   = 675;\\25^{x}\cdot \dfrac{3^{4} }{3^{x} } =675;\\\\25^{x}\cdot \dfrac{81}{3^{x} } =675;\\\\\left(\dfrac{25}{3}\right )^{x}=\dfrac{675}{81} ;\\\\\left(\dfrac{25}{3}\right )^{x}=\dfrac{25}{3} ;\\\\x=1

Если х=1 , то y= 4 - 1 = 3.

Тогда ( 1; 3) - решение системы .

Вас заинтересует