• Предмет: Алгебра
  • Автор: katrineeeeeeeee721
  • Вопрос задан 7 лет назад

40 баллов! Помогите пожалуйста!

Приложения:

Ответы

Ответ дал: villiwonkka1
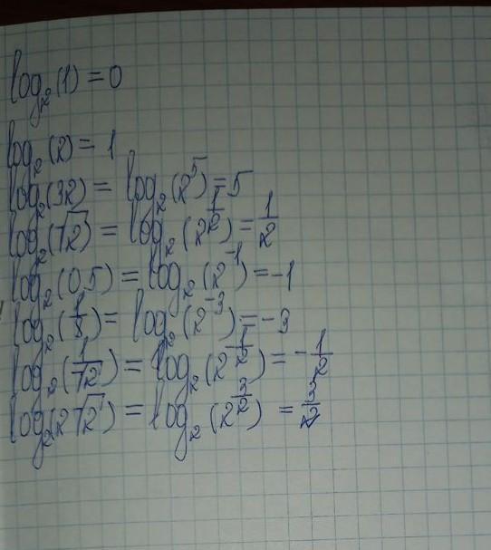
1

_._._._._._._._._._._._

Приложения:

villiwonkka1: а за что нарушение?
villiwonkka1: тут же ясно сказано, найти логарифм с основанием 2
villiwonkka1: то есть log2
villiwonkka1: а дальше уже примеры подставляешь
villiwonkka1: ничего не понимаю, людям помогаешь, а они ставят нарушения, мне интересно что скажет модератор
villiwonkka1: формула: loga(a^x)=x
Вас заинтересует