• Предмет: Математика
  • Автор: vitekgorlov
  • Вопрос задан 7 лет назад

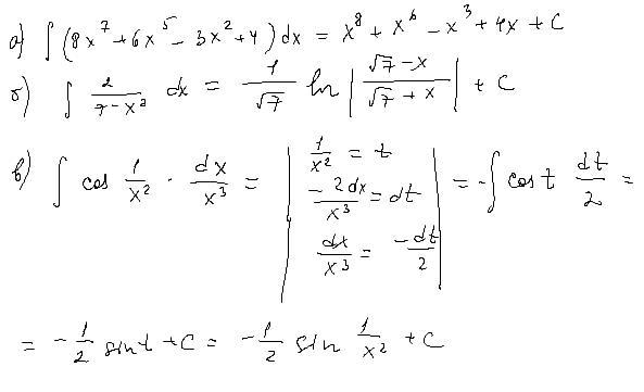
Помогите, пожалуйста, вычислить следующие неопределенные интегралы

Приложения:

Ответы

Ответ дал: dashulka22222
1

Ответ:

Пошаговое объяснение:

Приложения:
Вас заинтересует