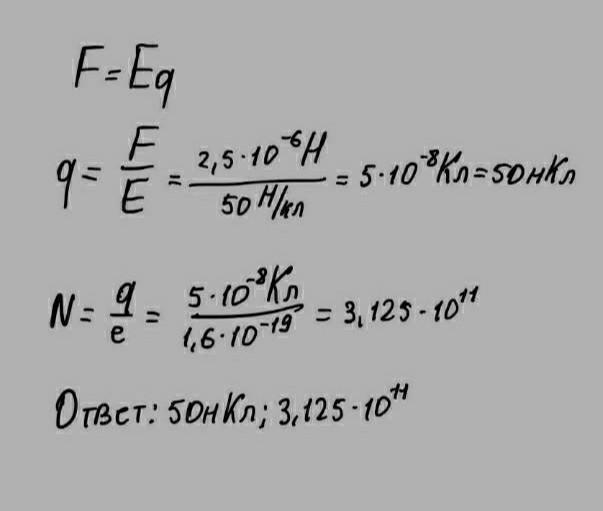
11. Капля масла находится в однородном электрическом поле, на которую действует сила 2 * 10 ^ - 6 * H Напряженность электрического поля равна 500 Н/Кл. а) Определите заряд капли масла. [2] b) Вычислите количество избыточных электронов в капле масла. [2]
дам 50 баллов
Ответы
Ответ дал:
1
Ответ на фото, надеюсь получу лучший ответ
Приложения:
Вас заинтересует
2 года назад
2 года назад
3 года назад
9 лет назад
9 лет назад
10 лет назад
10 лет назад