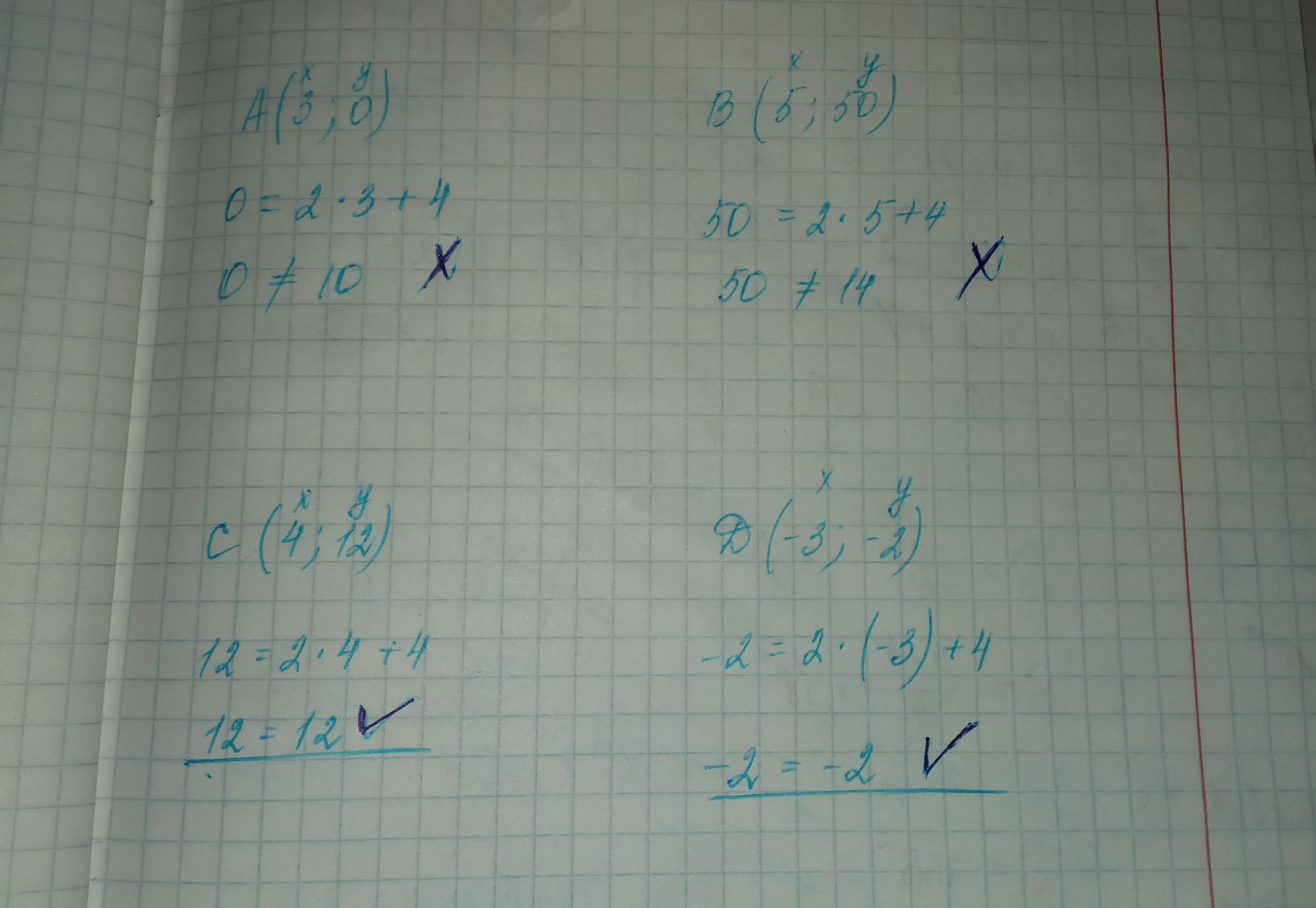
Какая из перечисленных точек принадлежит графику функции:у=2х+4
А (3;0); В(5;50); С(4;12); Д(-3;-2)
(НАДО ПРОВЕРИТЬ КАЖДУЮ ТОЧКУ)
natalyrer:
Помогите пожалуйста
Ответы
Ответ дал:
0
.............................
Приложения:

Ответ дал:
3
См. Фото..................
Приложения:

Вас заинтересует
2 года назад
2 года назад
2 года назад
2 года назад
8 лет назад
8 лет назад
9 лет назад