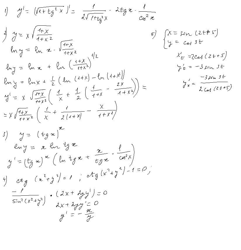
Найти производные данных функций
1)y=корень 1+tg^2x
2)y=(tgx)^x
3)y=x корень (1+x)/1+x^2
4)ctg(x^2+y^2)=1
Приложения:

Ответы
Ответ дал:
1
Ответ:
Пошаговое объяснение:
Приложения:

Вас заинтересует
2 года назад
8 лет назад