Ответы
Ответ дал:
1
Ответ:
как-то так
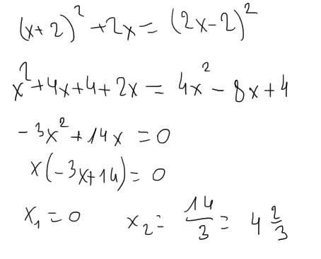
Объяснение:
Приложения:

Ответ дал:
2
Ответ:
/////////////////////////
Приложения:


Вас заинтересует
2 года назад
2 года назад
8 лет назад
8 лет назад
9 лет назад
9 лет назад