• Предмет: Математика
  • Автор: lenamalceva50
  • Вопрос задан 7 лет назад

ПОМОГИТЕ РЕШИТЬ СРОЧНО НО ТОЛЬКО ЧТОБЫ БЫЛО ПРАВИЛЬНО ПОЖАЛУЙСТА и то что на фото
ДАЮ 30 БАЛЛОВ
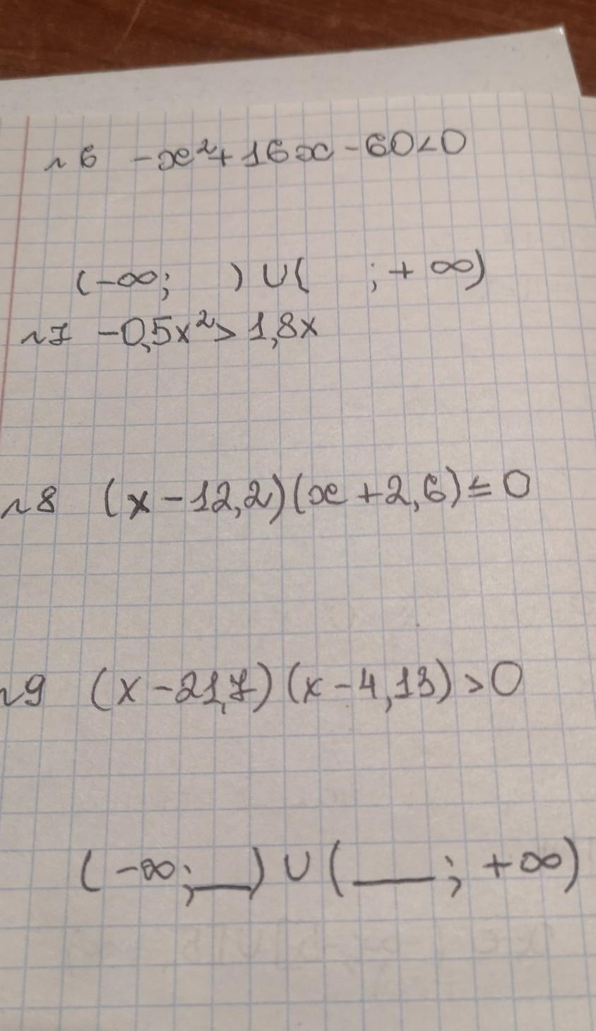
6) - x2+16x-60<0

7)-0,5x2>1,8x

8)(x-12,2)(x+2,6)<=0

9)(x-21,7)(x-4,13)>0​

Приложения:

Ответы

Ответ дал: dobra888
1

Ответ:

Пошаговое объяснение:

   6) - x²+ 16x - 60 < 0 ;

 D = 256 - 240 = 16 > 0 ;   x₁ = (- 16 - 4 )/(- 2 ) = 10 ;  x =  (- 16 + 4 )/(- 2 ) = 6 ;

    a = - 1 < 0 , вітки параболи напрямлені вниз :

    xЄ (- ∞ ; 6 ) U ( 10 ; + ∞ ) ;      

    7) - 0,5x² > 1,8x  ;

       0,5x² + 1,8x < 0 ;│x 2

          x² + 3,6x < 0 ;     a = 1  > 0

         x( x + 3,6 ) < 0 ;     x₁ = - 3,6 ;    x₂ = 0 ;

        xЄ (- 3,6 ; 0 )  ;

     8)   (x - 12,2)(x + 2,6) ≤ 0 ;    

       

Вас заинтересует