Дуже треба!К.р
При яких значеннях а квадратне рiвняння x ^ 2 + 2(a + 1) * x + a ^ 2 = 0 не має коренів?
Warlock1:
если уберёшь слово кр из задания, то смогу ответить
Ответы
Ответ дал:
1
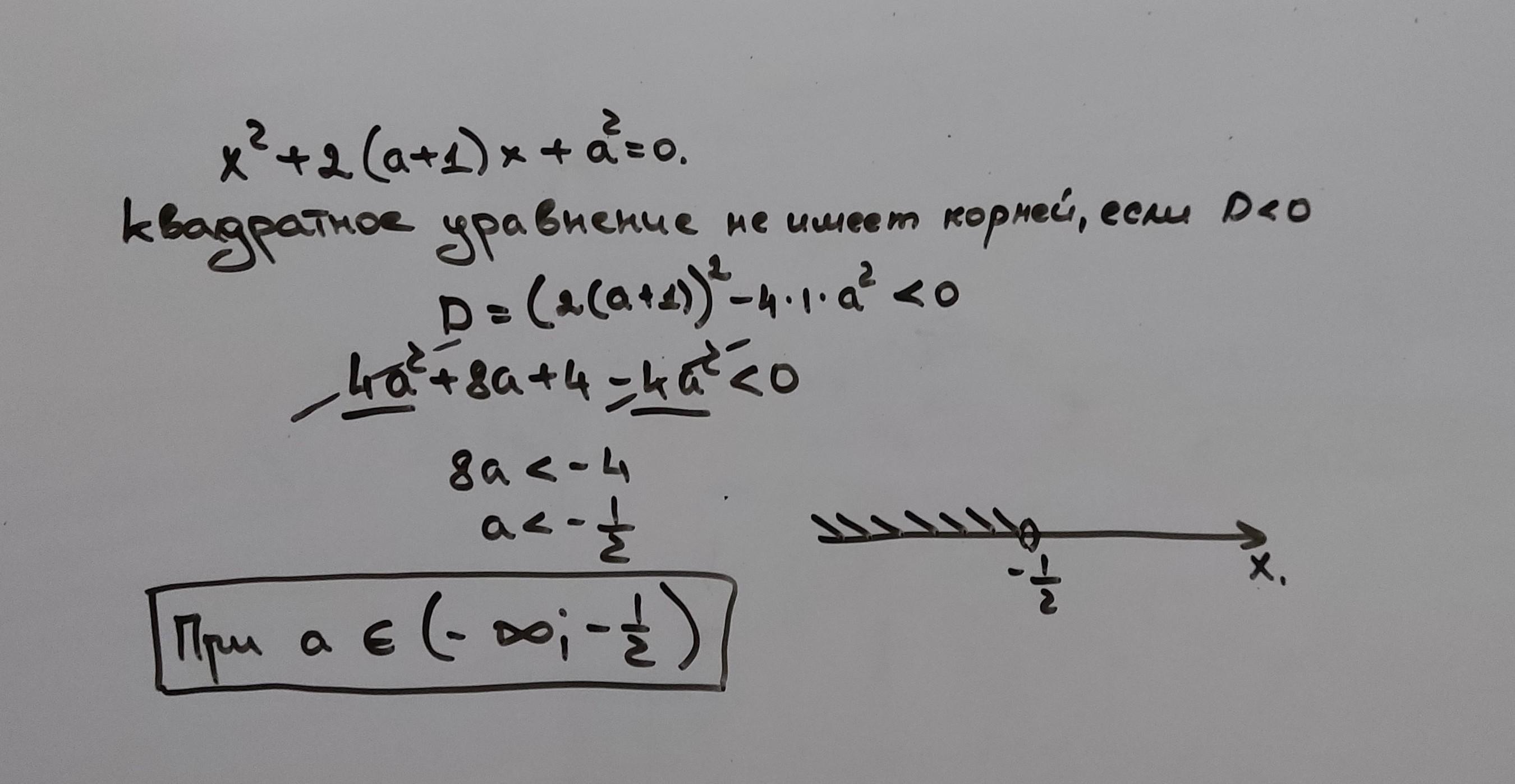
Ответ:
решение привел на фото.
Приложения:

Вас заинтересует
2 года назад
2 года назад
2 года назад
8 лет назад
9 лет назад
9 лет назад