• Предмет: Математика
  • Автор: nell54nor
  • Вопрос задан 7 лет назад

Найдите площадь изображённой фигуры по формуле Ньютона-лейбница ​

Приложения:

Ответы

Ответ дал: dashulka22222
0

Ответ:

Пошаговое объяснение:

Приложения:
Ответ дал: galinazhmatova
0

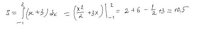
Ответ:

Пошаговое объяснение:интеграл от а до в =F(x)lот а до в ,т.е S=F(b)-F(a)=(x в квадрате делённого на 2 + 3х)lот -1 до 2 =(2 в квадр. делён на 2+3*2)-(-1 в квадр. делённый на 2  +3*(-1))=(2+6)-(1/2-3)=8+2,5=10,5 кв. ед.

Вас заинтересует