• Предмет: Математика
  • Автор: aktivpassiv10q
  • Вопрос задан 7 лет назад

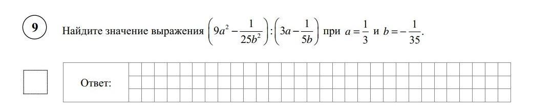
Найдите значение выражения​

Приложения:

Ответы

Ответ дал: ildar502020
1

Ответ:  174/175.

Пошаговое объяснение:

(9a²-1/25b²) / (3a-1/5b) => первый множитель  - это разность квадратов =>  (9a²-1/25b²) = (3a+1/5b)(3a-1/5b) => Тогда

(3a+1/5b)(3a-1/5b) /(3a-1/5b)  = (3a+1/5b);

При a=1/3 и b=-1/35 =>

3*1/3 + 1/5*(-1/35) = 1 - 1/375= 174/175.

Вас заинтересует