• Предмет: Математика
  • Автор: zlatazajceva12
  • Вопрос задан 7 лет назад

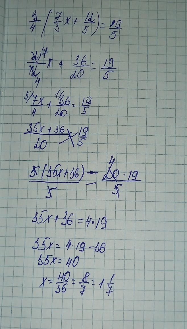
решите уравнение пж побыстрее даю 15 баллов​

Приложения:

Аноним: 1 1/7

Ответы

Ответ дал: mathematics165
0

Ответ:

- ВСЕ ВО ВЛОЖЕНИЕ-

Пошаговое объяснение:

-ВСЕ ВО ВЛОЖЕНИЕ-

Приложения:
Вас заинтересует