• Предмет: Алгебра
  • Автор: scopes
  • Вопрос задан 7 лет назад

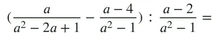
помогите пожалуйста срочно​ упростите выр-е

Приложения:

Ответы

Ответ дал: idcld
1
Решение и ответ на фото ниже:
Приложения:

scopes: спасибо
Вас заинтересует