Ответы
Ответ дал:
0
Ответ:
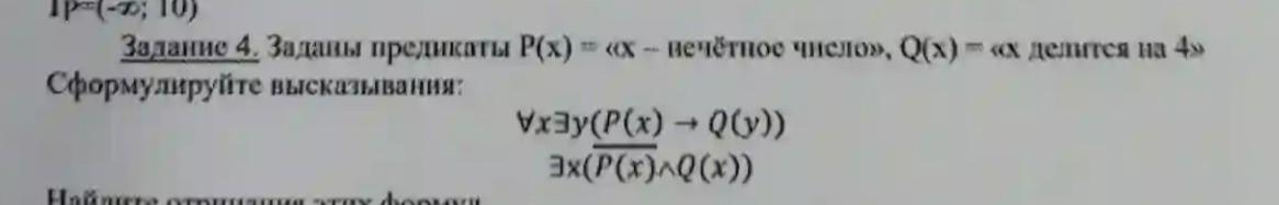
надо х разделить на Р не будет нужна помощь в получении учителя ту которую он тебе не нужно будет сделать на сайте и мы сможем получить информацию по поводу того что получатель открыл сообщение
Вас заинтересует
2 года назад
2 года назад
3 года назад
3 года назад
9 лет назад
9 лет назад