• Предмет: Математика
  • Автор: linar561
  • Вопрос задан 7 лет назад

Решите пожалуйста, в интернете не нашел
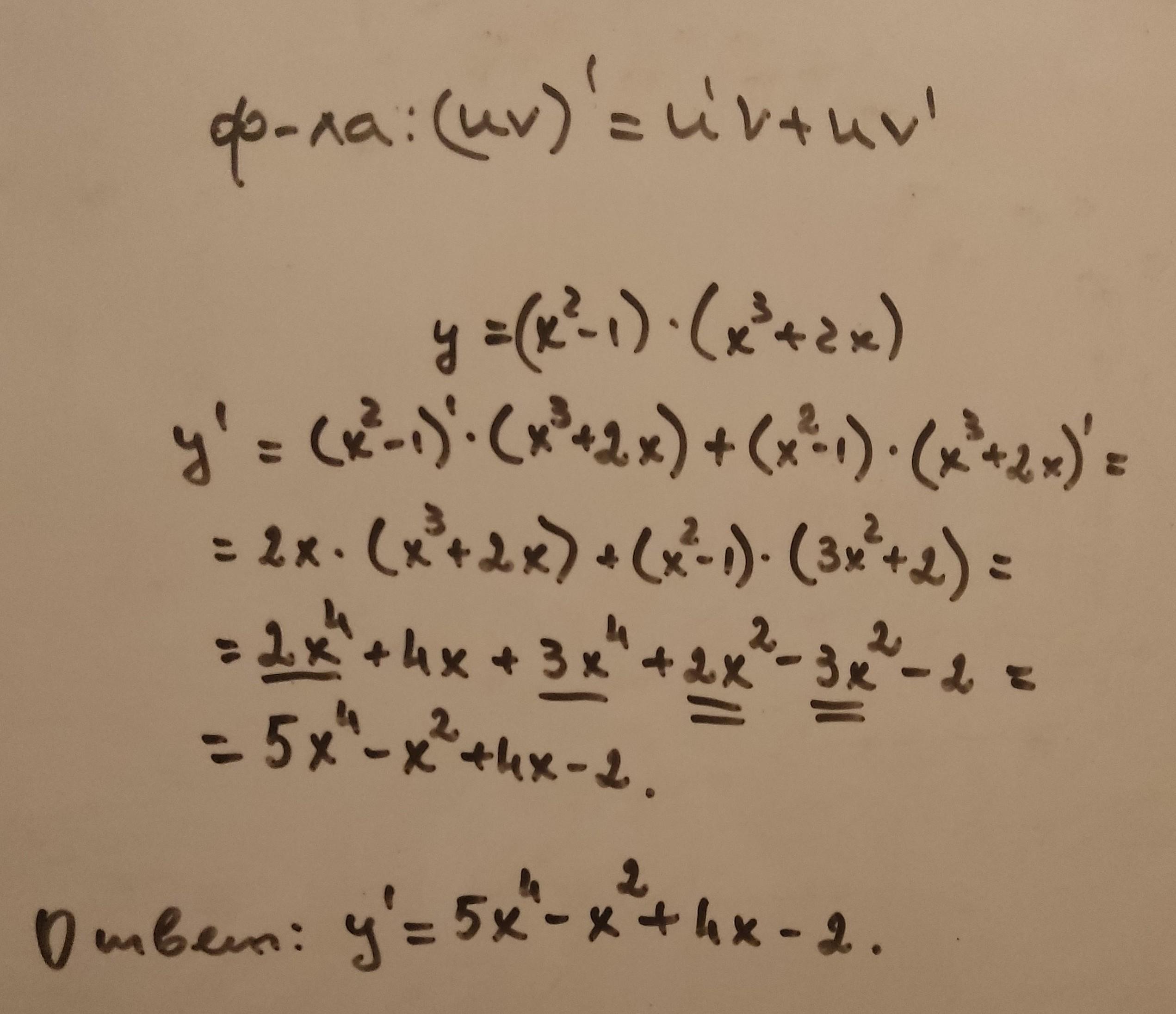
Производная
y'=(x^2-1)(x^3+2x)

Ответы

Ответ дал: Аноним
0

Ответ:

решение приведено на фото

Приложения:
Вас заинтересует