• Предмет: Алгебра
  • Автор: Вадим7652в
  • Вопрос задан 10 лет назад

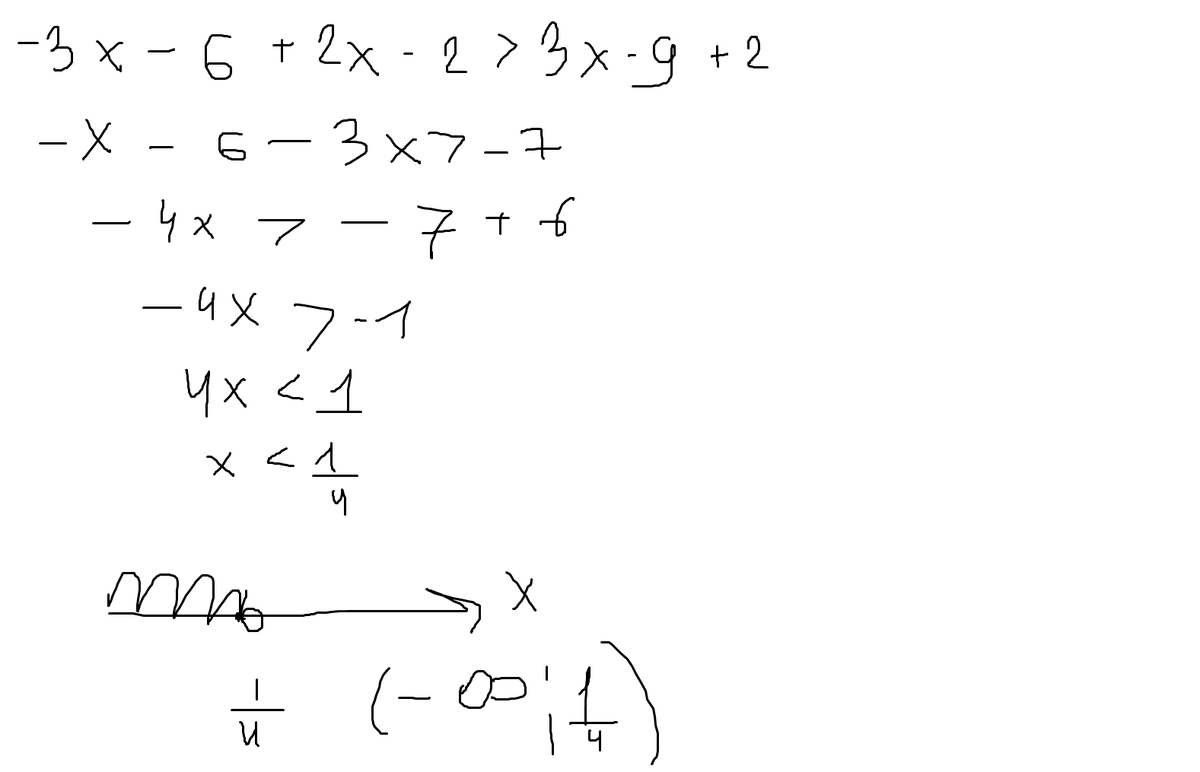
Решите неравенство –3(х + 2) + 2(х – 1) > 3(х – 3) + 2.

Ответы

Ответ дал: 15032
0
Это вот так вот решается 
Приложения:
Вас заинтересует