помогите пожалуйста решить этот пример срочноо очень нужен... ​

Приложения:

olenka209079: Что нужно сделать с примером?
olenka209079: упростить выражение или разложить выражение на множители?
olenka209079: Я помогу, только ответьте что необходимо сделать
w1Zi: я хз просто решить

Ответы

Ответ дал: ermolaevzena617
1
Пытался написать понятно)))
Приложения:
Ответ дал: olenka209079
0

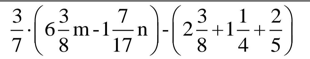
УПРОСТИТЬ ВЫРАЖЕНИЕ:

\frac{3}{7}\cdot(6\frac{3}{8}m-1\frac{7}{17}n)-(2\frac{3}{8}+1\frac{1}{4}+\frac{2}{5})=\frac{3}{7}\cdot(\frac{51}{8}m-\frac{24}{17}n)-(\frac{19}{8}+\frac{5}{4}+\frac{2}{5})=\frac{153}{56}m-\frac{72}{119}n-\frac{161}{40}

РАЗЛОЖИТЬ ВЫРАЖЕНИЕ НА МНОЖИТЕЛИ:

\frac{3}{7}\cdot(6\frac{3}{8}m-1\frac{7}{17}n)-(2\frac{3}{8}+1\frac{1}{4}+\frac{2}{5})=\frac{3}{7}\cdot(\frac{51}{8}m-\frac{24}{17}n)-(\frac{19}{8}+\frac{5}{4}+\frac{2}{5})=\frac{3}{7}\cdot(\frac{51}{8}m-\frac{24}{17}n)-\frac{19}{8}-\frac{5}{4}-\frac{2}{5}=\frac{1}{280}\cdot(120(\frac{51}{8}m-\frac{24}{17}n)-665-350-112)=\frac{1}{280}\cdot)765m-\frac{2880}{17}n-665-350-112)=\frac{1}{280}\cdot(765m-\frac{2880}{17}n-1127)

Вас заинтересует