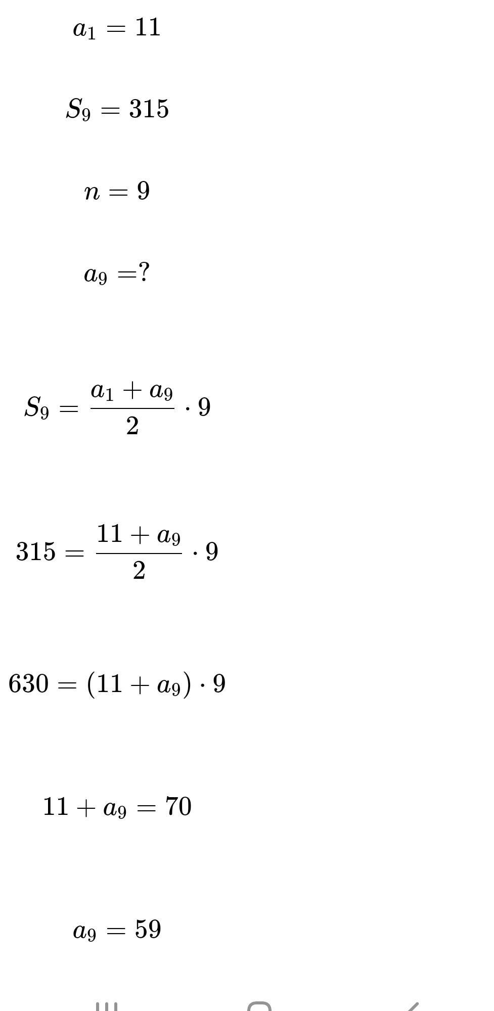
Олегу надо решить 315 задач. Ежедневно он решает на одно и то же количество задач больше по сравнению с предыдущим днем. Известно, что за первый день Олег решил 11 задач. Определите, сколько задач решил Олег в последний день, если со всеми задачами он справился за 9 дней.
Ответы
Ответ дал:
0
снизу ещё a⁹=59
ejhdj2jejkdididkdkfkkdd
Приложения:

Вас заинтересует
2 года назад
2 года назад
8 лет назад
9 лет назад