• Предмет: Алгебра
  • Автор: H1tmanchik
  • Вопрос задан 7 лет назад

Решите пожалуйста:3
Срочно!!!​

Приложения:

Ответы

Ответ дал: table123
1

Ответ:

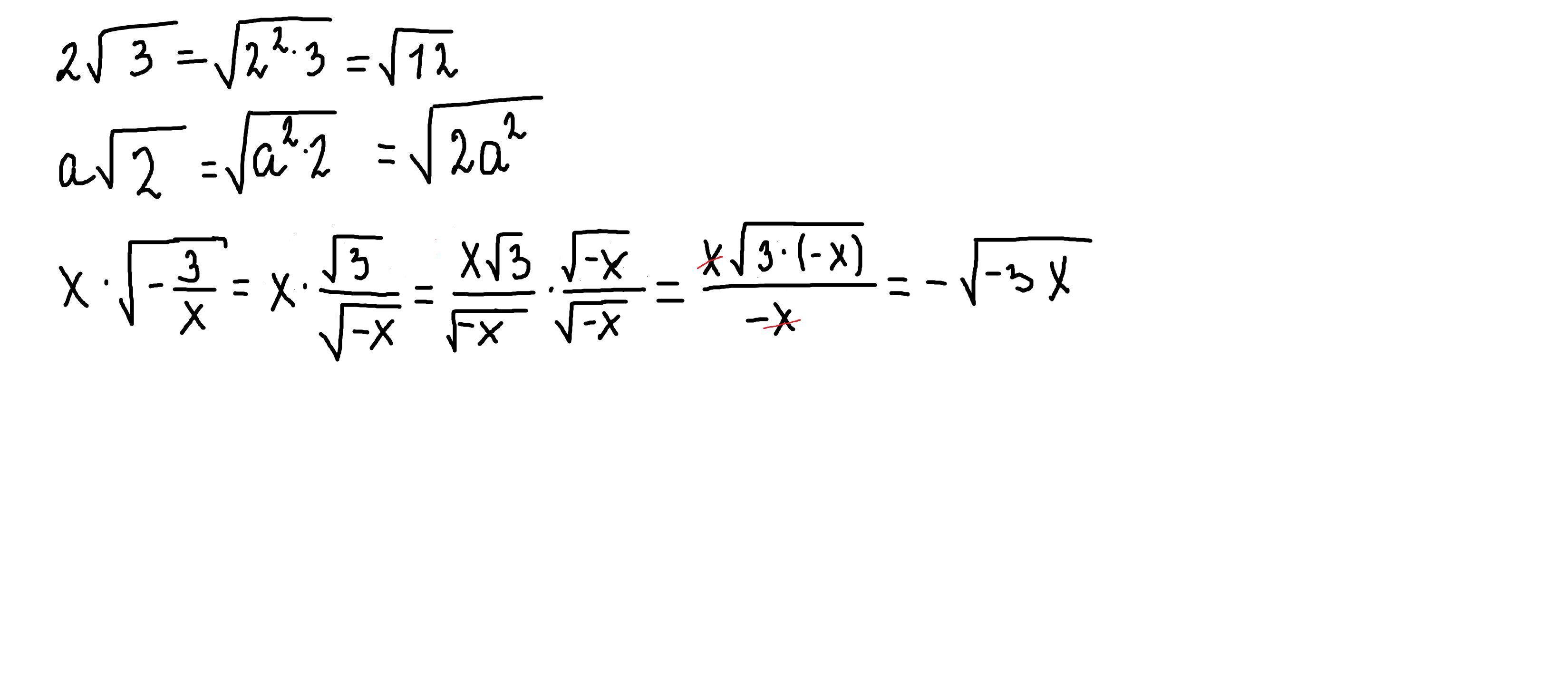
Объяснение: (V -корень,  ^ -знак степени)

a)  =V(4*3)=V(12),  б)  =V(2a^2)  в)  = V(-3x^2/ x)= V(-3/x)


H1tmanchik: алилуя 20 минут ждал респект тебе
bb573878: в в) перед корнем знак минус разве не нужен?
NNNLLL54: пункт в) : минус нужен перед корнем, так как под корнем выражение положительно (неотрицательным не может быть из-за "х" в знаменателе) , когда х меньше 0, значит при внесении под корень отрицательной переменной минус оставляем перед корнем .
Ответ дал: parus77
1

Ответ:

решение внизу

Объяснение:

Приложения:
Вас заинтересует