• Предмет: Алгебра
  • Автор: mohita41
  • Вопрос задан 7 лет назад

Помогите пожалуйста с задачей.

Приложения:

Ответы

Ответ дал: parus77
0

Ответ:

Объяснение:

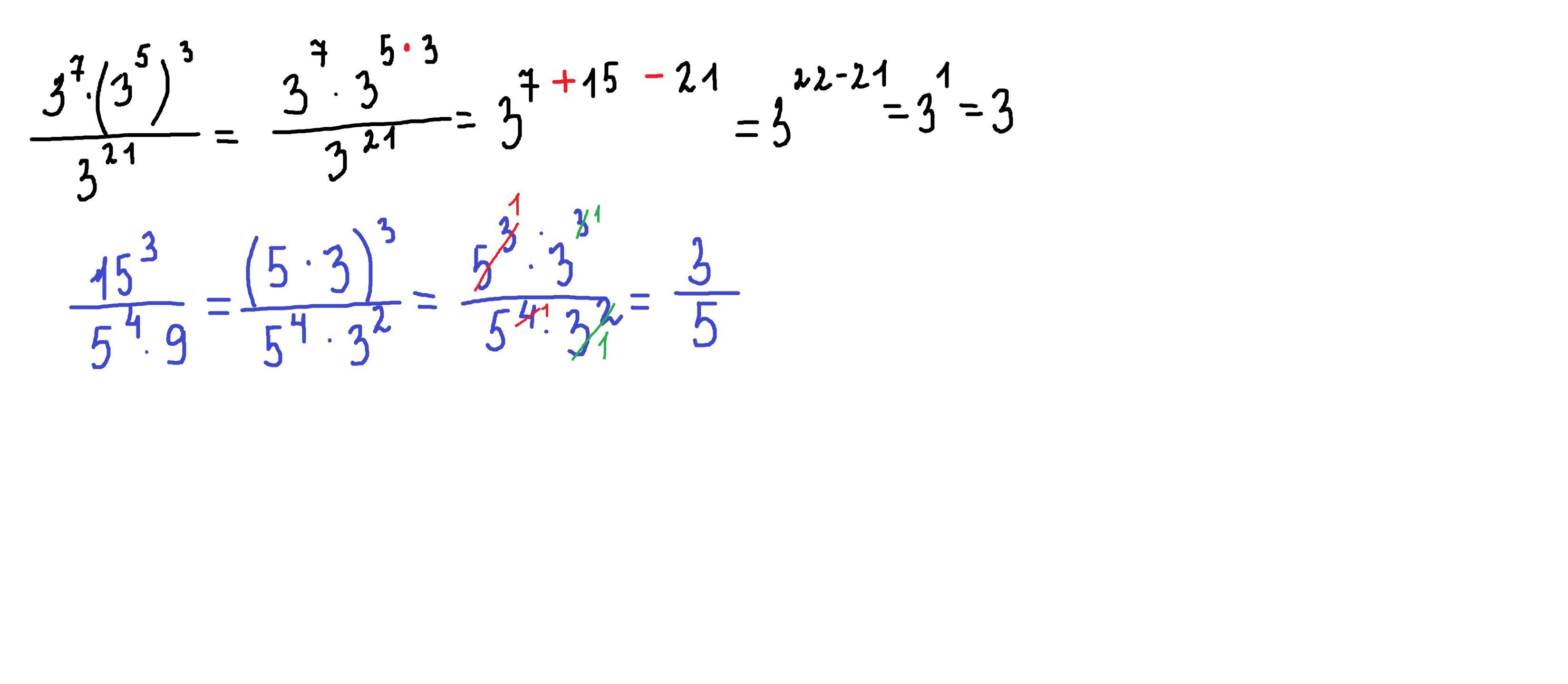
при возведении степени в степень показатели перемножаются,при умножении складываются,при делении-вычитаются.

Приложения:
Вас заинтересует