• Предмет: Алгебра
  • Автор: XeniRaion
  • Вопрос задан 7 лет назад

СРОЧНО РЕШИТЕ ПОЖАЛУЙСТА

Приложения:

Ответы

Ответ дал: tamarabernukho
2

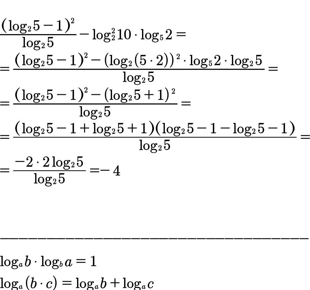
Ответ:

-4

Объяснение:

..........................

Приложения:
Вас заинтересует