• Предмет: Алгебра
  • Автор: eresenkolubov303
  • Вопрос задан 7 лет назад

СРОЧНО! Питання на фото!
Буду дуууже вдячна!)

Приложения:

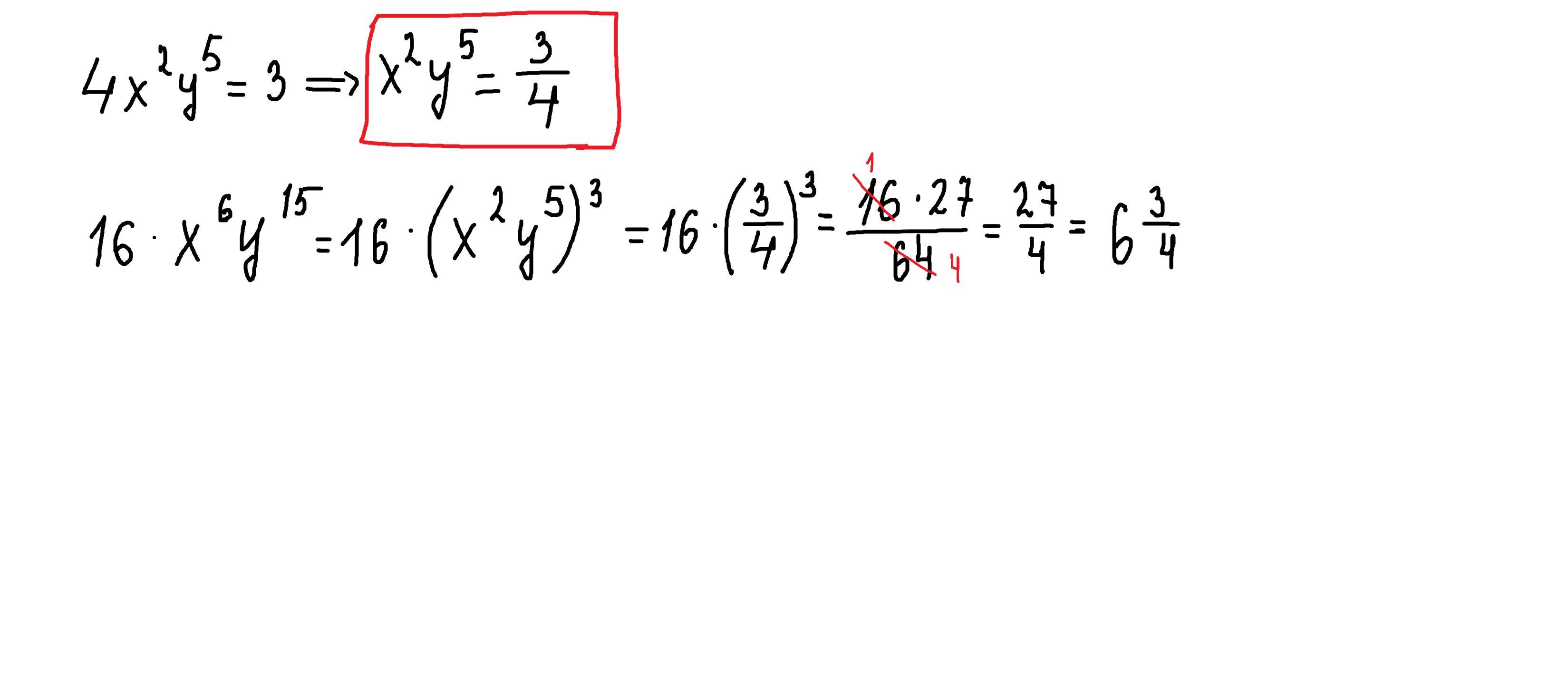
ВикаБач: =((4x^2*y^5)^3) /4 = 3/4=0.75
ВикаБач: Ой, нет.... =(3^3)/4=27/4=6 3/4=6.75
eresenkolubov303: Спасибо!

Ответы

Ответ дал: parus77
1

Ответ:

Объяснение:

решение внизу

Приложения:
Вас заинтересует