Ответы
Ответ дал:
2
Ответ:
Пошаговое объяснение:
Приложения:

solka0000:
добрий вечір ,допоможіть ,будь ласка , математикою (є 2 завдання ),дуже потрібно
Ответ дал:
3
Ответ:
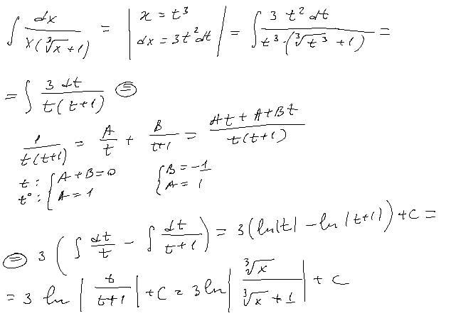
Метод замены вычисления интеграла .
Методом неопределённых коэффициентов разложили рац. дробь на сумму простейших дробей.
Вас заинтересует
2 года назад
2 года назад
2 года назад
2 года назад
8 лет назад
8 лет назад
9 лет назад
9 лет назад