• Предмет: Физика
  • Автор: rotod
  • Вопрос задан 7 лет назад

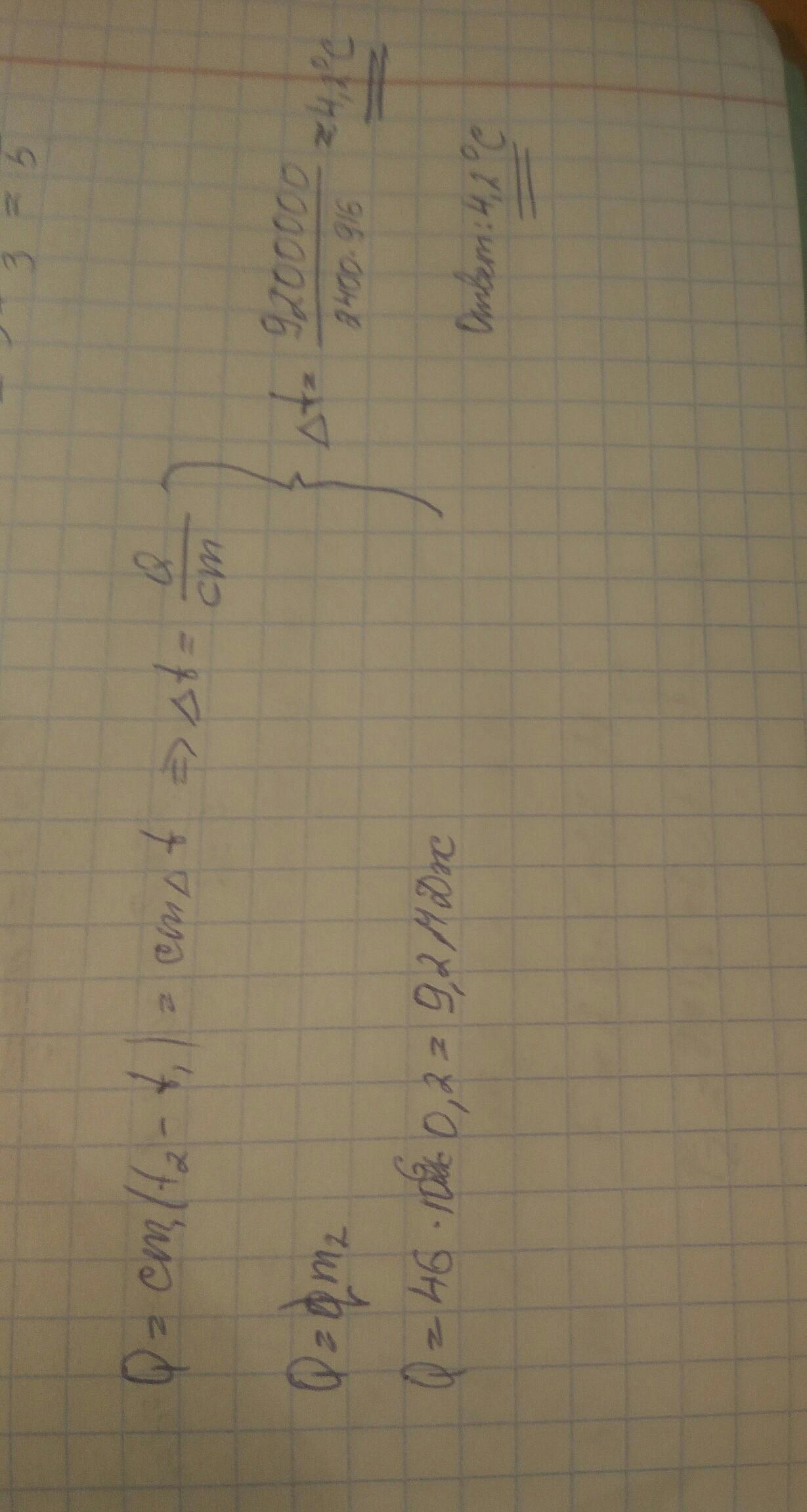
Определи, на сколько градусов можно нагреть глицерин массой 916 кг при сжигании бензина массой 0,2 кг, если считать, что теплота, выделившаяся при полном сгорании бензина, целиком пошла на нагревание глицерина. Удельная теплоёмкость глицерина равна 2400 Дж/(кг·°С), удельная теплота сгорания бензина — 46 МДж/кг.
СРОЧНО НУЖЕН ОТВЕТ!! ​

Ответы

Ответ дал: nuchtosh1
0

Ответ:

4,2°С

Объяснение:

в прикрепленных файлах

количество теплоты, выделившееся при сгорании бензина равно количеству теплоты, полученной глицерином. формулы я написал в прикреплённом

Приложения:
Вас заинтересует