• Предмет: Математика
  • Автор: goker3981
  • Вопрос задан 7 лет назад

5 заданий по математике. 100 баллов даю.

Приложения:

Ответы

Ответ дал: byrbyrkyr
0

Ответ:

Пошаговое объяснение:

4). 9^х+3^х+1-4=0

3^2х+3^х+1-4=0

3^х обозначаем через у

у^2+3у-4=0

D=9+16=25

у1=(-3+5)/2=1

у2=(-3-5)/2=-4

3^х=1,. х=0

Ответ дал: azavorotnyj16
1

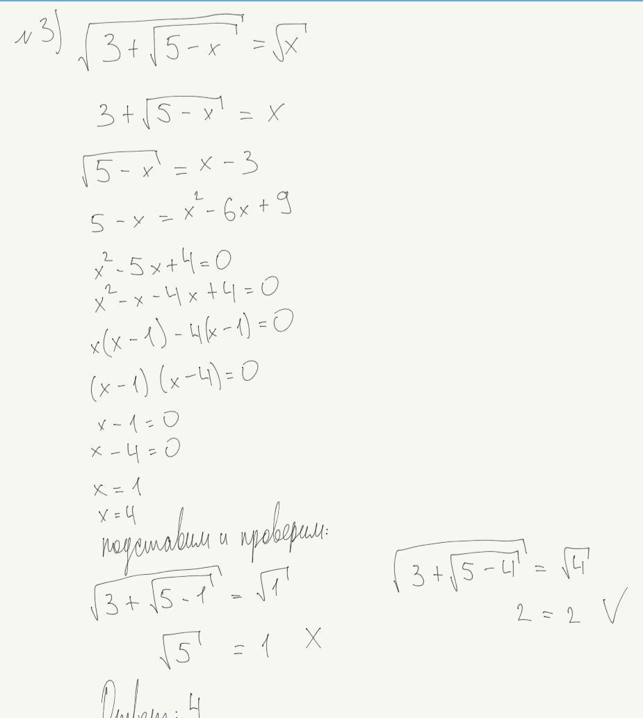
Ответ и решение для 1, 2 и 3 задания.

Приложения:
Вас заинтересует