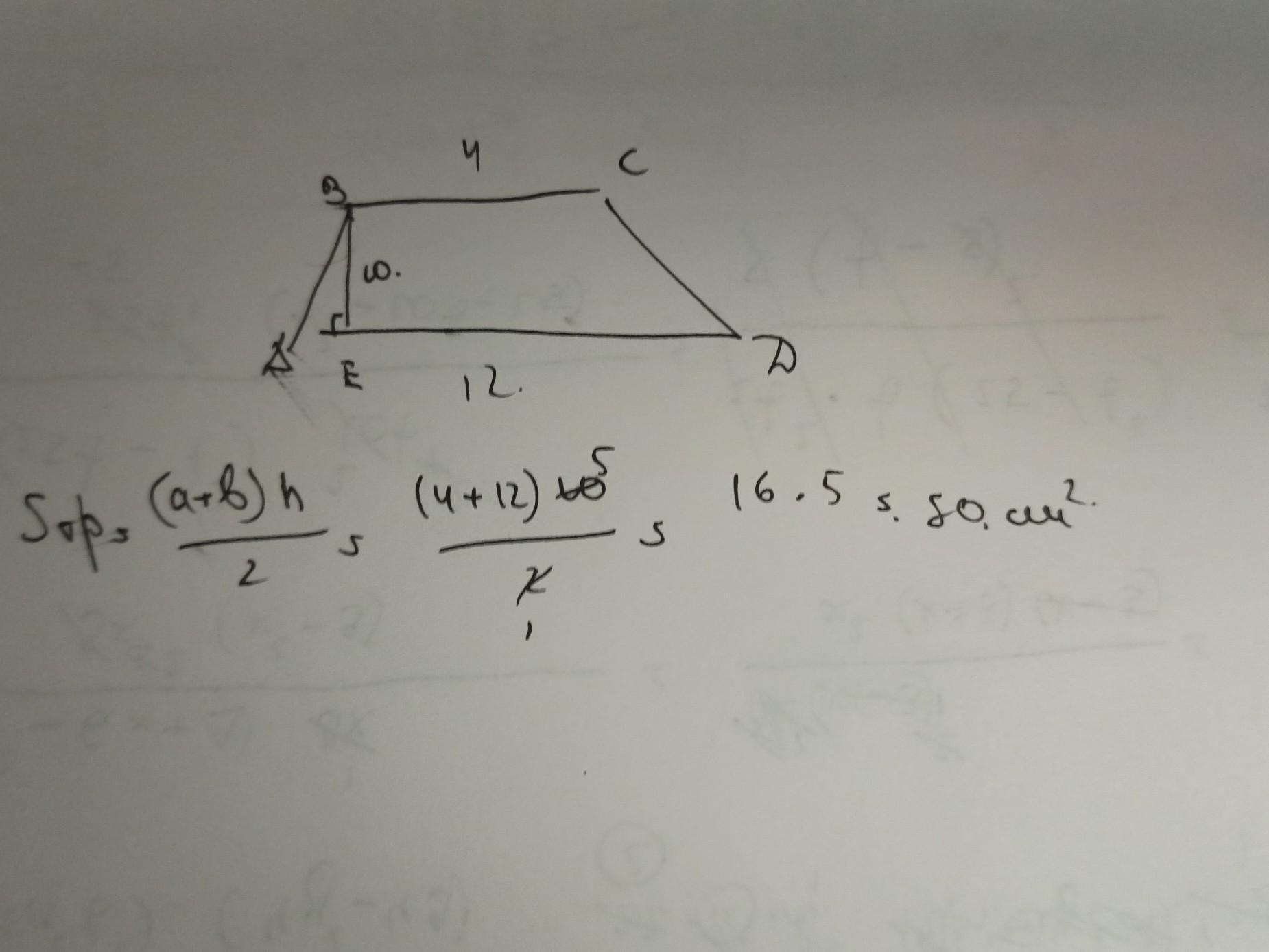
Дана трапеция ABCD с основаниями BC= 4 см и AD= 12 см. Высота BE проведена к основанию AD и равна 10 см. Вычисли площадь трапеции. Ответ: площадь трапеции равна
Ответы
Ответ дал:
1
Ответ:
S тр = (a+b) h/2 = (4+12) *10/2 = 80см2
Приложения:

rakhimovmirat:
спасибо броу)
Ответ дал:
0
если посчитать то получается 80 см
Вас заинтересует
2 года назад
2 года назад
2 года назад
2 года назад
9 лет назад