• Предмет: Математика
  • Автор: albinaqwerty185
  • Вопрос задан 7 лет назад

Хелп плииз
(10б!) СРОЧНО!!!!

Приложения:

Ответы

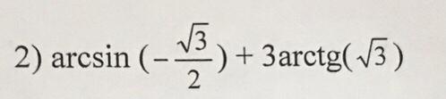
Ответ дал: ostapenko981
1

Пошаговое объяснение:

-п/3+3•п/3=-п/3+п=2п/3


albinaqwerty185: там есть еще одно задание на моем проф. помоги плиз)
Вас заинтересует