• Предмет: Алгебра
  • Автор: matveyhelp43
  • Вопрос задан 7 лет назад

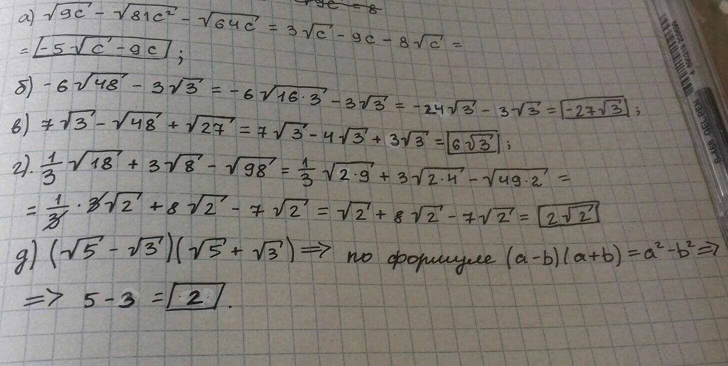
СРОЧНО! Помогите с Алгеброй. Не могу разобраться, много болел. Буду благодарен. Всех с наступающим новым годом.​

Приложения:

Ответы

Ответ дал: AmyWinnie
3

 \boxed{ \tiny \: foto}

Приложения:
Вас заинтересует