• Предмет: Алгебра
  • Автор: mitskistan1
  • Вопрос задан 7 лет назад

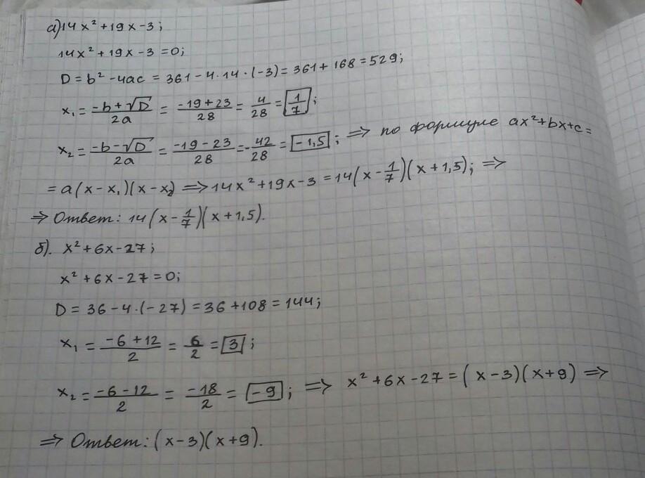
квадратные трехчлены классифицируют на множители
Прошу

Приложения:

Ответы

Ответ дал: AmyWinnie
3

{{{{{{{{{{{{{{{{{{}}}}}}}}}}}}}}}}}}

Приложения:

mitskistan1: Уваа красивый и аккуратный почерк такой спасибо большое!
Ответ дал: Amigo3
0

Ответ: см фото.

Объяснение:

Приложения:
Вас заинтересует