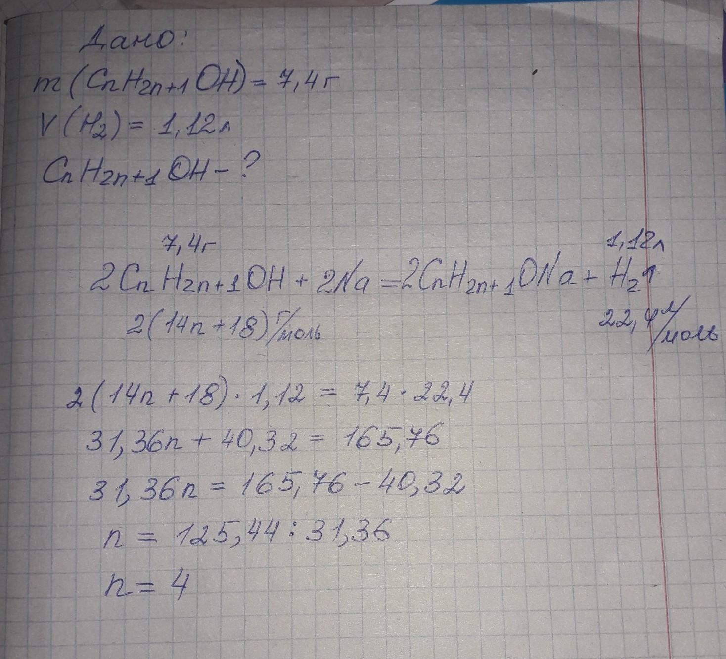
Виведіть формулу насиченого одноатомного спирту, користуючись загальною формулою спиртів, при взаємодії якого масою 7,4 г з металічним натрієм добуто водень об’ємом 1,12 л
Ответы
Ответ дал:
4
Ответ:
С4Н9ОН
Объяснение:
Молярная масса насыщенного одноатомного спирта CnH2n+1OH
М= 12×n+2×1×n+1+16+1= 14n+18г/моль
Приложения:

Вас заинтересует
2 года назад
2 года назад
2 года назад
2 года назад
8 лет назад
8 лет назад
9 лет назад